SZY的博客 
  • 首页
  • 归档
  • 分类
  • 标签
  • 关于
  •   
  •   
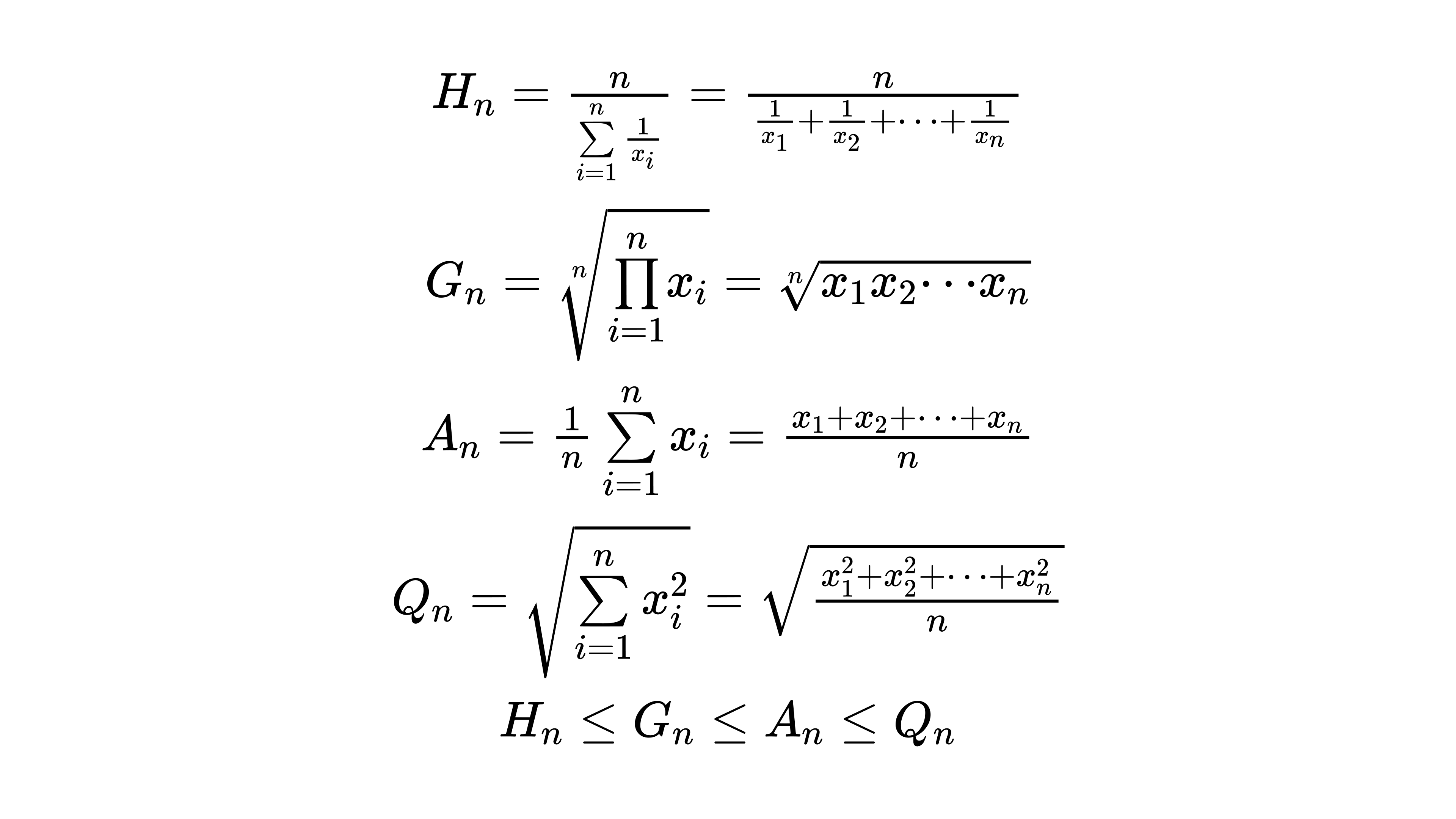
高中数学笔记(小抄)(持续更新中……)

高中数学笔记(小抄)(持续更新中……)

炒鸡好用的啦!

2021-08-15
数学笔记
Hexo
使用Hexo重新建站纪念

使用Hexo重新建站纪念

使用Hexo重新建站纪念

2021-08-15
大事记
Hexo
10.1大礼包

10.1大礼包

国庆作业一览 数学课课件下载地址 强基、三一培训时间表 语文 物理 数学 10月1日 13:30-16:30 10月2日 18:00-21:00 10月4日 15:20-17:00 10月1日 18:00-21:00 10月3日 8:30-11:30 10月4日 17:30-21:50 10月2日 8:30-11:30 10月3日 13:30-16:30 10

2020-10-01
Maverick
博客 Maverick GitHub
暑假作业

暑假作业

语文 完成《金考卷》10套(第4套至第13套),建议每两天一套,并注意错题的及时整理 每班分六组完成一套浙江高考语文模拟试题的命制(要求以2020浙江卷为样卷,要求试题原创,考点明确,答案拟制科学,解析具体,由指定负责人组卷审卷) 关于论述文或逻辑学的书籍阅读 做好经典名句和时尚素材的摘抄工作,不少于1000字 数学 白本 P47-72 8套金考卷 英语 听力。每天一份听力(完成精

2020-07-24
Maverick
博客 Maverick GitHub 作业
6.26化学答案校对

6.26化学答案校对

2020-06-26
Maverick
博客 Maverick GitHub
寒假测试时间表

寒假测试时间表

高二年级考试日程 科目 时间 语文 2月19日(星期三)8:00~8:50 物理 2月19日(星期三)9:20~10:10 历史 2月19日(星期三)10:40~11:30 生物 2月19日(星期三)2:00~2:50 政治 2月19日(星期三)3:20~4:10 数学 2月20日(星期四)8:00~8:50 化学 2月20日(星期四)9:20~10:10

2020-02-13
Maverick
博客 Maverick GitHub
网课资料

网课资料

网课全部资料https://jia666-my.sharepoint.com/:f:/g/personal/skcratdg8_xkx_me/EtQeksyp3g1OneFFo2uUhtMBVJOumNzeYNzYb7P2WIfM-g?e=CByOgI

2020-02-04
Maverick
博客 Maverick GitHub
2019-nCov实时疫情图

2019-nCov实时疫情图

新型冠状病毒感染的肺炎是一种急性感染性肺炎,其病原体是一种先前未在人类中发现的新型冠状病毒,即2019新型冠状病毒(2019 novel Coronavirus,2019-nCoV)。

2020-01-29
Maverick
博客 Maverick GitHub 肺炎
期末考试英语听力下载

期末考试英语听力下载

下载地址1(GitHub) 下载地址2(百度网盘)

2020-01-20
Maverick
博客 Maverick GitHub
寒假作业

寒假作业

语文 寒假作业本 看课外书 完成征文 摘抄至少1000字 数学 寒假作业本 四套模拟试卷(点击转到下载页面) 英语 《读后续写》(书每天看、记5-10页;熟记其他相关材料) 应用文材料(背诵,默写词、句、文) 每天听一套听力测试 《典范英语》至少看三本(做好笔记,注意细节描写和表达) 寒假作业本(41页起词汇部分必须完成,其他自选或做《天利38套》模拟试题) 整理笔记 学一首英文歌

2020-01-19
Maverick
博客 Maverick GitHub 作业
12

搜索

Hexo Fluid